Your browser does not seem to support JavaScript. As a result, your viewing experience will be diminished, and you have been placed in read-only mode.
Please download a browser that supports JavaScript, or enable it if it's disabled (i.e. NoScript).
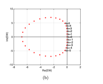
带摩擦的运输方程是 u_t = lambda * u_x = eps * u_xx, 通过变化, 我们得到了, ,其中D是导数矩阵, D2 是二阶导数矩阵 然后, 我们对M进行求特征值(EW), 得到了这种图片, 我想知道这是为什么呢?