Skip to content
  • 最新
  • 版块
  • 东岳流体
  • 随机看[请狂点我]
皮肤
  • Light
  • Cerulean
  • Cosmo
  • Flatly
  • Journal
  • Litera
  • Lumen
  • Lux
  • Materia
  • Minty
  • Morph
  • Pulse
  • Sandstone
  • Simplex
  • Sketchy
  • Spacelab
  • United
  • Yeti
  • Zephyr
  • Dark
  • Cyborg
  • Darkly
  • Quartz
  • Slate
  • Solar
  • Superhero
  • Vapor

  • 默认(不使用皮肤)
  • 不使用皮肤
折叠
CFD中文网

CFD中文网

  1. CFD中文网
  2. 版块
  3. OpenFOAM
  4. 动量方程的2/3μ这一项

动量方程的2/3μ这一项

已定时 已固定 已锁定 已移动 OpenFOAM
9 帖子 4 发布者 11.0k 浏览
  • 从旧到新
  • 从新到旧
  • 最多赞同
回复
  • 在新帖中回复
登录后回复
此主题已被删除。只有拥有主题管理权限的用户可以查看。
  • C 离线
    C 离线
    Calf.Z-DNS
    写于 最后由 编辑
    #1

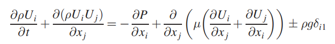
    我看到东岳老师在buoyantPimpleFOAM里面写的动量方程为:

    动量方程.png

    按可压缩方程来讲,应该还有一项−2/3µ(∇ • U)。

    为何方程中没有体现出来,是归并到某一项中了吗?

    另外我正在参考的一篇论文里面的动量方程的形式也是没有那一项:

    动量方程2.png

    从方程上看,这应该是可压缩的吧?如果省略掉−2/3µ(∇ • U),那么方程应该是不可压缩的,所以我认为这一项应该是归并到某一项中,只是方程形式上没有体现出来。

    不知道大家怎么看?谢谢大家。

    1 条回复 最后回复
  • 李东岳李 离线
    李东岳李 离线
    李东岳 管理员
    写于 最后由 编辑
    #2

    多谢指正。你说的是对的,目前我把文档简单改了一下,你看看,若推不明白我再更新 :duang: 这一项在+ turbulence->divDevRhoReff(U)这里处理的

    CFD算法编程课: http://dyfluid.com/class.html

    需要帮助debug算例的看这个 https://cfd-china.com/topic/8018

    1 条回复 最后回复
  • C 离线
    C 离线
    Calf.Z-DNS
    写于 最后由 编辑
    #3

    在代码中是有体现这一项的。

    只不过您给的方程中没有体现这一项,所以是想说归到某一项里面还是其他的操作?谢谢。

    1 条回复 最后回复
  • 队长别开枪队 离线
    队长别开枪队 离线
    队长别开枪 超神
    写于 最后由 李东岳 编辑
    #4

    不可压流动连续方程是$\nabla \cdot \bfU = 0$,因此好多公式里把这项省略了,代码里加入这一项可能是为了统一,可压不可压都可以调用,而且加入这一项有助于加速收敛,因为只有收敛后$\nabla \cdot \bfU = 0$才成立。

    C 1 条回复 最后回复
  • W 离线
    W 离线
    wwzhao 超神
    写于 最后由 编辑
    #5

    关于RANS方程中有效雷诺应力的计算,可以参考这篇文章 。

    C 1 条回复 最后回复
  • C 离线
    C 离线
    Calf.Z-DNS
    在 中回复了 队长别开枪 最后由 编辑
    #6

    @队长别开枪 在 动量方程的2/3μ这一项 中说:

    不可压流动连续方程是$\nabla \cdot \bfU = 0$,因此好多公式里把这项省略了,代码里加入这一项可能是为了统一,可压不可压都可以调用,而且加入这一项有助于加速收敛,因为只有收敛后$\nabla \cdot \bfU = 0$才成立。

    可压与不可压的代码对这一项的代码不一样吧,一个是divDevRhoReff(U),一个是divDevReff(U),它们具体包含的内容不一样。

    对于我给的这个方程,应该是可压的,但是这一项没有在方程中体现,所以感到奇怪。

    队长别开枪队 1 条回复 最后回复
  • C 离线
    C 离线
    Calf.Z-DNS
    在 中回复了 wwzhao 最后由 编辑
    #7

    @wwzhao 在 动量方程的2/3μ这一项 中说:

    关于RANS方程中有效雷诺应力的计算,可以参考这篇文章 。

    谢谢,我参考一下。

    1 条回复 最后回复
  • 队长别开枪队 离线
    队长别开枪队 离线
    队长别开枪 超神
    在 中回复了 Calf.Z-DNS 最后由 编辑
    #8

    @Calf-Z-DNS 字面不一样,参考wwzhao贴出来的文章,对于线性涡粘模型,divDevReff(U) = divDevRhoReff(U)

    template<class TransportModel>
    Foam::tmp<Foam::fvVectorMatrix>
    Foam::IncompressibleTurbulenceModel<TransportModel>::divDevReff
    (
        volVectorField& U
    ) const
    {
        return divDevRhoReff(U);
    }
    
    C 1 条回复 最后回复
  • C 离线
    C 离线
    Calf.Z-DNS
    在 中回复了 队长别开枪 最后由 编辑
    #9

    @队长别开枪 谢谢指导。
    这么看来,OpenFOAM对可压缩跟不可压缩的问题实现了代码的复用。
    如果是不可压的,收敛后∇⋅U=0,2/3这项自动为0,也就省略了,不知道这么理解对不对。

    那么对于动量方程2.png
    这种形式的动量方程,没有体现2/3μ这一项,是因为不够严谨,还是因为这一项因为∇⋅U=0而省略掉?

    如果是后者的话,那么这就变成不可压缩的动量方程?那为何还有密度这一项?

    还是说这是一个统称的写法,具体还要根据问题判断。谢谢。

    1 条回复 最后回复

京ICP备15017992号-2

  • 登录

  • 登录或注册以进行搜索。
  • 第一个帖子
    最后一个帖子
0
  • 最新
  • 版块
  • 东岳流体
  • 随机看[请狂点我]