Skip to content
  • 最新
  • 版块
  • 东岳流体
  • 随机看[请狂点我]
皮肤
  • Light
  • Cerulean
  • Cosmo
  • Flatly
  • Journal
  • Litera
  • Lumen
  • Lux
  • Materia
  • Minty
  • Morph
  • Pulse
  • Sandstone
  • Simplex
  • Sketchy
  • Spacelab
  • United
  • Yeti
  • Zephyr
  • Dark
  • Cyborg
  • Darkly
  • Quartz
  • Slate
  • Solar
  • Superhero
  • Vapor

  • 默认(不使用皮肤)
  • 不使用皮肤
折叠
CFD中文网

CFD中文网

  1. CFD中文网
  2. OpenFOAM
  3. twoPhaseEulerFoam pEqn.H bug?

twoPhaseEulerFoam pEqn.H bug?

已定时 已固定 已锁定 已移动 OpenFOAM
6 帖子 2 发布者 4.8k 浏览
  • 从旧到新
  • 从新到旧
  • 最多赞同
回复
  • 在新帖中回复
登录后回复
此主题已被删除。只有拥有主题管理权限的用户可以查看。
  • J 离线
    J 离线
    Jasper 0
    写于 最后由 编辑
    #1

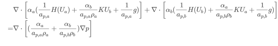
    大家好,本人在学习twoPhaseEulerFoam pEqn.H 代码时发现,code中定义的pressure "diffusivity"

     "rAUf",
    mag(alphaf1*alpharAUf1 + alphaf2*alpharAUf2)
    

    alpharAUf1在UEqn.H中给出了定义:

    fvc::interpolate(max(alpha1, phase1.residualAlpha())*rAU1)
    

    与公式中给出的形式并不一样(下图右边项),
    cc315206-aa51-42c5-9459-f70a1fd94487-image.png

    这是代码出现的bug还是我理解的不到位?还请大佬们解惑

    1 条回复 最后回复
  • J 离线
    J 离线
    Jasper 0
    写于 最后由 编辑
    #2

    @李东岳 现在这个问题还没有搞清楚,东岳大佬能否帮忙解答一下?:135:

    1 条回复 最后回复
  • 李东岳李 离线
    李东岳李 离线
    李东岳 管理员
    写于 最后由 编辑
    #3

    跟下面这个一致么

    \begin{equation}\label{incompressiblep}
    \nabla\cdot\left(\left(\alpha_{\rd,\rP}\frac{\alpha_{\rd,\rP}}{A_{\rd,\rP}}+\alpha_{\rd,\rP}\frac{\alpha_{\rd,\rP}}{A_{\rd,\rP}}
    \right)\nabla p_{\mathrm{rgh},\rP}\right),
    \end{equation}

    9月CFD算法编程课: http://dyfluid.com/class.html

    需要帮助debug算例的看这个 https://cfd-china.com/topic/8018

    J 1 条回复 最后回复
  • J 离线
    J 离线
    Jasper 0
    在 中回复了 李东岳 最后由 编辑
    #4

    @李东岳 一致,但是我实在看不出来是怎么推出来的这个形式。
    我是看的这个网站上的推导http://xiaopingqiu.github.io/2015/05/17/twoPhaseEulerFoam2/
    请问李老师您这个公式有相应的文献或者网站吗?万分感谢!困扰好久了

    李东岳李 1 条回复 最后回复
  • 李东岳李 离线
    李东岳李 离线
    李东岳 管理员
    在 中回复了 Jasper 0 最后由 编辑
    #5

    @jasper-0 https://www.jianguoyun.com/p/DbNqqy8Q9s3ZBhjj5tYCIAA

    9月CFD算法编程课: http://dyfluid.com/class.html

    需要帮助debug算例的看这个 https://cfd-china.com/topic/8018

    J 1 条回复 最后回复
  • J 离线
    J 离线
    Jasper 0
    在 中回复了 李东岳 最后由 编辑
    #6

    @李东岳 感谢大佬!我好好研读一下 :142:

    1 条回复 最后回复

京ICP备15017992号-2

  • 登录

  • 登录或注册以进行搜索。
  • 第一个帖子
    最后一个帖子
0
  • 最新
  • 版块
  • 东岳流体
  • 随机看[请狂点我]