关于OpenFOAM中,多相流守恒性与鲁棒性的讨论
-
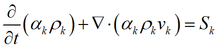
首先,我们假设一个速度恒定,不考虑压力和体积力,但考虑相变的两相流动过程,此时,k相的控制方程有:


其中的Sk表示k相的源项。我们知道,对于一个小网格内,Sk如果较大,而从气到液体或者液体到气体的相变过程势必会在网格上引起额外的对流通量,因为相变会使得体积发生变化。
在OpenFOAM中所使用的欧拉多相流求解器multiphaseEulerFoam中,相分数方程并未做额外处理,但是在能量方程中,却多了一项,具体的有:
in file AnisothermalPhaseModel.C··· const tmp<volScalarField> tcontErr(this->continuityError()); const volScalarField& contErr(tcontErr()); ··· tmp<fvScalarMatrix> tEEqn ( fvm::ddt(alpha, rho, he) + fvm::div(alphaRhoPhi, he) - fvm::Sp(contErr, he) + fvc::ddt(alpha, rho, K) + fvc::div(alphaRhoPhi, K) - contErr*K + this->divq(he) == alpha*this->Qdot() );其中,continuityError()为
in file MovingPhaseModel.Ctemplate<class BasePhaseModel> void Foam::MovingPhaseModel<BasePhaseModel>::correctContinuityError ( const volScalarField& source ) { volScalarField& rho = this->thermoRef().rho(); continuityError_ = fvc::ddt(*this, rho) + fvc::div(alphaRhoPhi_) - source; }不难看出,当相变/源项存在时,为了防止体积溢出的部分的能量影响网格内能量的计算,添加了一个额外的连续性修正项contErr来消除溢出项的影响(实际上动量方程中也添加了该项)。但是,这样的方式显然会破坏全场内的能量与质量守恒,两相条件蒸发,网格内产生的膨胀体积应当输运到其他网格中,但是这样的处理方式显然没有对该过程进行考虑。
因为膨胀引起网格面额外通量的分析和计算过程本身十分复杂,考虑起来非常困难,因此只能牺牲一些守恒性换来鲁棒性。但是无论在openfoamwiki中的理论手册、李东岳老师还是其他商业软件中都没有把这一项写在理论说明的文档里。想请教一下各位老师和学者,这样的处理方式是两相求解领域的共识吗?

