Skip to content
  • 最新
  • 版块
  • 东岳流体
  • 随机看[请狂点我]
皮肤
  • Light
  • Cerulean
  • Cosmo
  • Flatly
  • Journal
  • Litera
  • Lumen
  • Lux
  • Materia
  • Minty
  • Morph
  • Pulse
  • Sandstone
  • Simplex
  • Sketchy
  • Spacelab
  • United
  • Yeti
  • Zephyr
  • Dark
  • Cyborg
  • Darkly
  • Quartz
  • Slate
  • Solar
  • Superhero
  • Vapor

  • 默认(不使用皮肤)
  • 不使用皮肤
折叠
CFD中文网

CFD中文网

  1. CFD中文网
  2. 版块
  3. OpenFOAM
  4. ELSA+滑移速度模型的植入中曳力项中存在除以0的项怎么处理

ELSA+滑移速度模型的植入中曳力项中存在除以0的项怎么处理

已定时 已固定 已锁定 已移动 OpenFOAM
2 帖子 1 发布者 2.3k 浏览
  • 从旧到新
  • 从新到旧
  • 最多赞同
回复
  • 在新帖中回复
登录后回复
此主题已被删除。只有拥有主题管理权限的用户可以查看。
  • L 离线
    L 离线
    Lubing
    写于 最后由 编辑
    #1

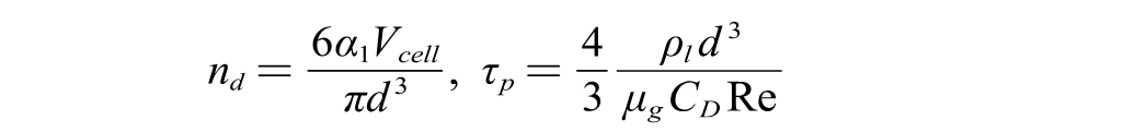
    在单流体mixture模型中,植入曳力模型中除以0的问题,想问下该怎么处理:
    整个框架中使用omega-Y方程计算液滴粒径
    2649ca73-943e-45e7-b3a3-d81c198240ad-image.png
    再使用计算得到的粒径计算曳力,求解滑移速度
    27ef35f2-81b1-4894-bb8a-3227cc94e8e8-image.png
    3a6cd6af-fa77-450a-a123-f9245df9daee-image.png
    但是在纯液体以及纯气体中会出现液滴粒径为0的情况,这就导致其中nd(网格中的粒子数目)会出现为零的情况,想请教下这种情况下直接使用SMALL有用么,还是需要别的特殊的处理方法,非常感谢~
    24b8130d-b324-4817-9b3e-31a8ea7a9591-image.png

    1 条回复 最后回复
  • L 离线
    L 离线
    Lubing
    写于 最后由 编辑
    #2

    这里如果使用SMALL,当接近零的时候,Y_s的值会接近零,滑移速度为0,也是符合原理的。但是我不确定OpenFOAM在计算时是否Y_s会真的趋向于0,请大佬们看看是否有更好的处理方法

    1 条回复 最后回复

京ICP备15017992号-2

  • 登录

  • 登录或注册以进行搜索。
  • 第一个帖子
    最后一个帖子
0
  • 最新
  • 版块
  • 东岳流体
  • 随机看[请狂点我]