Skip to content
  • 最新
  • 版块
  • 东岳流体
  • 随机看[请狂点我]
皮肤
  • Light
  • Cerulean
  • Cosmo
  • Flatly
  • Journal
  • Litera
  • Lumen
  • Lux
  • Materia
  • Minty
  • Morph
  • Pulse
  • Sandstone
  • Simplex
  • Sketchy
  • Spacelab
  • United
  • Yeti
  • Zephyr
  • Dark
  • Cyborg
  • Darkly
  • Quartz
  • Slate
  • Solar
  • Superhero
  • Vapor

  • 默认(不使用皮肤)
  • 不使用皮肤
折叠
CFD中文网

CFD中文网

  1. CFD中文网
  2. 版块
  3. OpenFOAM
  4. LU-SGS求解器

LU-SGS求解器

已定时 已固定 已锁定 已移动 OpenFOAM
37 帖子 9 发布者 65.0k 浏览
  • 从旧到新
  • 从新到旧
  • 最多赞同
回复
  • 在新帖中回复
登录后回复
此主题已被删除。只有拥有主题管理权限的用户可以查看。
  • 李东岳李 离线
    李东岳李 离线
    李东岳 管理员
    写于 最后由 编辑
    #28

    估计是空气动力学问题。如果是密度基求解器的话,每个时间步一次性收敛是更重要的了。

    CFD算法编程课: http://dyfluid.com/class.html

    需要帮助debug算例的看这个 https://cfd-china.com/topic/8018

    程 1 条回复 最后回复
  • 程 离线
    程 离线
    程迪
    在 中回复了 李东岳 最后由 编辑
    #29

    @李东岳
    我觉得时间推进是非线性问题,咋可能一步收敛。只要
    1.对时间精确的求解来说,不影响所需要的求解精度;
    2.对不要求时间精确的,只要不影响下一次迭代就行;

    已婚,勿扰。
    本作品采用知识共享署名-非商业性使用-相同方式共享 4.0 国际许可协议进行许可。

    1 条回复 最后回复
  • 程 离线
    程 离线
    程迪
    在 中回复了 yhdthu 最后由 编辑
    #30

    @yhdthu aerodynamics

    已婚,勿扰。
    本作品采用知识共享署名-非商业性使用-相同方式共享 4.0 国际许可协议进行许可。

    1 条回复 最后回复
  • H 离线
    H 离线
    Him
    写于 最后由 编辑
    #31

    LUSGS的好处是可以使用更大的时间步长,但是显式计算的RK4也可以做到CFL~0.8。在二阶程序里使用LUSGS, CFL还是不应该大于1,因此LUSGS失去了它的优势。如果希望计算稳态,LTS也是一种相当有效率的稳态算法。如果LUSGS计算稳态收敛的速度比LTS更快,那么还是值得使用它。

    1 条回复 最后回复
  • H 离线
    H 离线
    Him
    写于 最后由 编辑
    #32

    'Implementation of density-based solver for all speeds in the framework of OpenFOAM' 里面介绍的双时间推进看起来不错,虽然计算量大一点,但是应该可以更好的处理流场马赫数跨度很大的情况 (跟压力基础求解器相比)。我一同事刚好在算这种流场,也许可以尝试你写的那种算法。

    1 条回复 最后回复
  • 浪 离线
    浪 离线
    浪迹天大
    写于 最后由 编辑
    #33

    这里讨论的实在是高深。虽然不懂 LU-SGS 是啥,但最近偶然看到有人分享这样的代码:
    网站
    GitLab

    OpenFOAM 学习交流:https://openfoam.top

    1 条回复 最后回复
  • W 离线
    W 离线
    wh3296
    在 中回复了 程迪 最后由 编辑
    #34

    @程迪
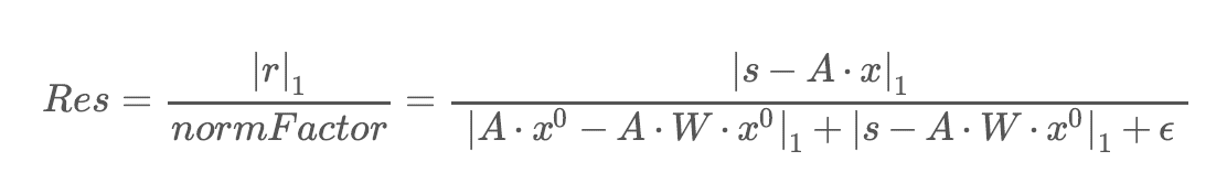
    您好,有个问题想请教您。看到您在《OpenFOAM的残差定义》一文中提到了残差定义方式:https://chengdi123000.github.io/2018/01/04/OpenFOAM的残差定义/
    804487c1-8422-49c6-a9b1-116b1949a77f-image.png
    关于分母normFactor,有些疑问,不知道为什么要这样定义,有什么数学上的原理吗?
    谢谢!

    1 条回复 最后回复
  • B 离线
    B 离线
    biaowai
    在 中回复了 程迪 最后由 编辑
    #35

    @程迪 汗流浃背了,一直有困惑,可压缩流动中LUSGS收敛性会很好,但OpenFOAM官方一直没有这版本

    1 条回复 最后回复
  • B 离线
    B 离线
    biaowai
    在 中回复了 程迪 最后由 编辑
    #36

    @程迪 读了大佬的解释,不免好奇,Fluent收敛速度比OF快会是因为非线性项处理方式引起的吗?比如Fluent可能用的是Newton迭代?OF为什么不用Newdon迭代呢,只是因为Picard迭代简单,不用求导?

    B 1 条回复 最后回复
  • B 离线
    B 离线
    biaowai
    在 中回复了 biaowai 最后由 编辑
    #37

    @biaowai 补充下,在Fluent理论和用户手册中搜索下,确实没有提到Picard,但出现了很多关于Newton-iteration的介绍,可能是Fluent更快收敛的一个原因

    1 条回复 最后回复

京ICP备15017992号-2

  • 登录

  • 登录或注册以进行搜索。
  • 第一个帖子
    最后一个帖子
0
  • 最新
  • 版块
  • 东岳流体
  • 随机看[请狂点我]