Skip to content
  • 最新
  • 版块
  • 东岳流体
  • 随机看[请狂点我]
皮肤
  • Light
  • Cerulean
  • Cosmo
  • Flatly
  • Journal
  • Litera
  • Lumen
  • Lux
  • Materia
  • Minty
  • Morph
  • Pulse
  • Sandstone
  • Simplex
  • Sketchy
  • Spacelab
  • United
  • Yeti
  • Zephyr
  • Dark
  • Cyborg
  • Darkly
  • Quartz
  • Slate
  • Solar
  • Superhero
  • Vapor

  • 默认(不使用皮肤)
  • 不使用皮肤
折叠
CFD中文网

CFD中文网

L

lyc

@lyc
关于
帖子
76
主题
15
群组
0
粉丝
0
关注
3

帖子

最新

  • ParaView的Python脚本使用方法
    L lyc

    有没有前辈使用过ParaView脚本编辑图片,需要实现自定义图例和坐标轴,超过4位数的坐标和图例刻度值需要表示为例如:10,000样式,即三位一个逗号分隔。请问各位有没有实现过?


  • 请教各种系数的定义及其作用
    L lyc

    @youhaoyu 在 请教各种系数的定义及其作用 中说:

    应该要改源代码的,按我想法就是新建一个例子参数,类似于p.U p.d这种,然后计算出来,计算公式就按着曳力公式写,最后输出出来(我不知道能不能直接不计算,引用算出来的数值)。反正肯定需要改些代码,至于怎么改,最近我也在添加一些颗粒长大方程,还没成功呢,属性添加修改位置, 不知道你哪个版本

    谢谢老铁


  • 请教各种系数的定义及其作用
    L lyc

    @李东岳 是的呀李老师


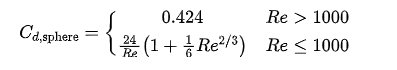
  • CdRe意思?
    L lyc

    @youhaoyu 164aaff4-c830-41ef-948d-977e67eb8338-image.png 就是SchillerNaumann曳力系数模型Cd·Re


  • 请教各种系数的定义及其作用
    L lyc

    @李东岳 在 请教各种系数的定义及其作用 中说:

    的方式来输出曳力或者曳力系数。需要改一些代码。但是我最近备课。没法更详细解释了。不过论坛里好像最近有几个做拉格朗日的挺活跃。比如这位大佬可能知道。

    谢谢东岳老师,希望有幸再次参加您的课程!


  • 请教各种系数的定义及其作用
    L lyc

    @random_ran 前辈您好,我采用了lagrangian库中的reactingParcelFoam求解器计算粒子运动,请问怎么输出粒子的曳力或曳力系数呢??我看您的帖子主要是输出流体和壁面的阻力系数。我没有查到相关粒子曳力的输出方法。谢谢!!


  • DPMFoam设置求解问题
    L lyc

    @veen 按照粒子体积分数0-0.01%,0.01-10%界定耦合模式,请问有没有文章进行过比较验证研究的?


  • 如果用DPMFoam求解稀相流会怎么样?误差大么
    L lyc

    @李东岳 这个应该就是buoyantPimpleFoam的处理方法


  • 寻求关于VM虚拟机黑屏问题的解决办法
    L lyc

    @DoubleTrump哥们,我直接重装了,按照李老师的建议主机内存留多一点,目前还没有遇到黑屏。建议,把虚拟机文件同步到主机,方法见论坛有人实现了。


  • 寻求关于VM虚拟机黑屏问题的解决办法
    L lyc

    谢谢李老师


  • 寻求关于VM虚拟机黑屏问题的解决办法
    L lyc

    image.png配置和黑屏截图附上!!


  • 寻求关于VM虚拟机黑屏问题的解决办法
    L lyc

    请问论坛的各位老师,有没有遇到过VM虚拟机无端开机黑屏的情况,怎么处置的呢?我尝试了一些网上的cmd命令没有效果。本人虚拟机设置情况,内存59.7G,处理机12核,硬盘20GB。谢谢大家!


  • Vmware虚拟机总是提示储存空间不足?扩容也麻烦!可以尝试使用“共享文件夹”,教程step by step!
    L lyc

    @Prometheus10 请问老师,有没有遇到过VM虚拟机无端开机黑屏的情况,怎么处置的呢?我尝试了一些网上的cmd命令没有效果。


  • 某些算例中ParaView无法查看初始场的信息?
    L lyc

    感谢分享


  • paraview如何衡量长度
    L lyc

    收藏!!


  • 关于paraview后处理颗粒的问题
    L lyc

    学习ing


  • openfoam如何设置圆形相域?
    L lyc

    @jlx 请问前辈这个问题您解决没有??


  • 关于buoyantPimpleFoam的几个问题
    L lyc

    @cccrrryyy谢谢前辈


  • 关于buoyantPimpleFoam的几个问题
    L lyc

    @cccrrryyy 在 关于buoyantPimpleFoam的几个问题 中说:

    做过将buoyantPimpleFoam修改为一个低马赫数求解器(变密度求解器

    前辈您好,请问一下您说的将buoyantPimpleFoam写改为低马赫求解器的工作在哪里可以看到?谢谢


  • Smagorinsky模型系数问题
    L lyc

    @coolhhh 太细致了!!!

  • 登录

  • 登录或注册以进行搜索。
  • 第一个帖子
    最后一个帖子
0
  • 最新
  • 版块
  • 东岳流体
  • 随机看[请狂点我]