@李东岳 第一张用滤镜设了一个温度的梯度
LYT
帖子
- 
    
 用paraview计算机滤镜的时候遇到的问题
- 
    
 用paraview计算机滤镜的时候遇到的问题如下两图,为什么经过计算机,值没了呢。 
    
- 
    
 compressibleInterFoam 耦合多组分传输模型@mohui 能加一下你的联系方式吗 
- 
    
 用compressibleinterfoam好像能量方程有问题,经常出现低速和超音速都出现,求解决?温度一直往负的走,不知道是这求解器自身有问题,还是我们边界条件给的不行 
- 
    
 东岳流体上的openfoam虚拟机的压缩文件包下载说压缩文件损坏@李东岳 嗯,两个一起下下来就可以的,之前理解错了。 
- 
    
 东岳流体上的openfoam虚拟机的压缩文件包下载说压缩文件损坏@李东岳 比如openfoam7+v2006,我要下载压缩包1和2 ,然后解压1,这个意思嘛 
- 
    
 东岳流体上的openfoam虚拟机的压缩文件包下载说压缩文件损坏有什么解决办法嘛 
- 
    
 想知道能量方程粘性项作用该怎么写@lyt 难道是后面一定要加两个()(),才行?这是什么逻辑 
- 
    
 想知道能量方程粘性项作用该怎么写@lyt 解决了 我把-fvc::div(sigmaDotU)放在fvc::div(rhophi,k)后面去了,就对了 无语。 
- 
    
 想知道能量方程粘性项作用该怎么写@李东岳 
 李老师,报错说我sigmaDotU数据类型和方程对不上,该怎么解决
    
- 
    
 想知道能量方程粘性项作用该怎么写@李东岳 但是rhocentralFoam里就是这么写的,这一点我也很不明白为什么。后来我理解成面标量,他后面散度可能是面积分的意思,这样去说服自己。 
- 
    
 想知道能量方程粘性项作用该怎么写有▽·(τ)为turbulence.divDevRhoReff(U),那▽·(τ·u)该怎么写。。 
 rhocentral里的τ·u是这样写的。
  
 我仿照的时候好像因为我是用的VOF的湍流模型,就没有muEff
  
 有老师同学会写吗,或者说 我是不是出啥问题了。
- 
    
 关于相变求解器interphasechangeFoam源项的疑问 
 这是我后来自己的解释
- 
    
 ld returned 1 exit status — undefined reference to "" 报错 
 这个意思是说我Foam::twoPhaseMixtureThermo::New没定义?
  
 这个应该算定义吗?能通过报错中的(.text.startup+0X35ed)找到为啥错吗。。
 有遇到过相同问题的朋友吗
- 
    
 关于相变求解器interphasechangeFoam源项的疑问对不起我没注意发错板块了  
- 
    
 关于相变求解器interphasechangeFoam源项的疑问首先给出相方程 
  
 然后给出求解的代码,其中vDotvmcAlphal=(vDotvAlphal - vDotcAlphal),是蒸发体积传递相减去凝结体积传递相。vDotAlpha1是个2个元素的数组,vDotvAlphal - vDotcAlphal是他的两个元素
  
 vDotAlpha1为如图
  
 问题,图二相方程求解里面,多了个vDotcAlpha1?
- 
    
 液滴破碎问题我以前也遇到过,我觉得可能是之前setfields错误的问题,后来我好像是重新删一下相文件,就没了。 
- 
    
 关于compressibleinterFoam中的非线性源项dgdt的请教@tens 谢谢老师,找到了。 
- 
    
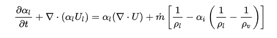
 关于compressibleinterFoam中的非线性源项dgdt的请教李老师对compressibleinterfoam中链接文本具体对体积分数运输方程的推导及后续处理。 
 其中的一部分推导我用图片截出 
 这是该求解器中关于dgdt的代码。
  
 后续为了保持相分界性的特殊处理。
  
 能找到的关于dgdt创建
  
 我的问题:
 1、dgdt(alpha1*fvc::div(phi))和 能对的上吗,我现在想的是我是不是没有推导出来。 
 2、dimensionedScalar(dimless/dimTime,0)中的dimless/dimTime是个什么量纲
 谢谢大家<抱拳>
