有人遇到过随着计算突然速度变慢的情况吗?
我最近遇到就是前面计算是3s计算一个时间步,然后计算了一段时间后突然变成需要13s计算一个时间步,但是看输出的log计算的那些方程迭代的次数没怎么变化。这一般会是什么原因呢?
tyhero123
帖子
-
请教一下关于OpenFOAM计算速度的问题 -
想请教一下各位大佬流动方程的推导已经搞清楚了,谢谢!
-
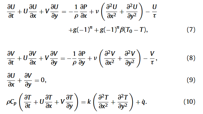
想请教一下各位大佬流动方程的推导看了很久没看明白,想请教一下各位大佬。是一个二维的流动,然后方程是这样的:

然后假设流动是层流和充分发展的,方程就变成了这样:
想请教一下各位大佬这是怎么推导过去的。 -
CFD与机器学习基本概念入门感觉CFD加机器学习是黑匣子加黑匣子,终极炼丹炉
-
OpenFOAM中怎么只通过MapFields映射边界值最后自己修改了mapFields把映射内部场的代码删掉了
-
OpenFOAM中怎么只通过MapFields映射边界值想请教各位老师,怎么使用OpenFOAM的实用程序来Map边界上的值,就是我现在做了一个Case1,然后另一个Case2的边界正好位于这个Case1的内部,想将这个Case1的内部值映射到Case2作为边界上的值。
-
openfoam添加随时间变化源项有个codedFvmodels可以去看一下。
-
浮力流的初始化问题直接blockMesh,然后buoyantFoam跑就可以,我跑到了20多秒没啥问题,流场看起来也正确。
谢谢,我试试看,我一直是发散的。
-
OpenFOAM中decomposePar分区时,网格是如何分配的?paraview可以直接对分块的网格后处理
-
浮力流的初始化问题blocks ( //- block0 hex (0 1 2 3 4 5 6 7) (10 10 10) simpleGrading (1 1 1) //- block1 hex (3 2 9 8 7 6 13 12) (10 20 10) simpleGrading (1 1 1) //- block2 hex (8 9 10 11 12 13 14 15) (10 10 10) simpleGrading (1 1 1) //- block3 hex (1 36 37 2 5 39 38 6) (10 10 10) simpleGrading (1 1 1) //- block4 hex (9 16 19 10 13 20 23 14) (10 10 10) simpleGrading (1 1 1) //- block5 hex (16 17 18 19 20 21 22 23) (10 10 10) simpleGrading (1 1 1) //- block6 hex (27 26 17 16 31 30 21 20) (10 20 10) simpleGrading (1 1 1) //- block7 hex (24 25 26 27 28 29 30 31) (10 10 10) simpleGrading (1 1 1) //- block8 hex (25 32 33 26 29 35 34 30) (10 10 10) simpleGrading (1 1 1) );这样网格不会太粗吗
-
浮力流的初始化问题test.zip
其他一些物理场都暂时无关,只要buoyantFoam能跑通就行,辛苦老师。 -
浮力流的初始化问题 -
浮力流的初始化问题入口是固定的速度
-
浮力流的初始化问题有人知道浮力流里面的prgh该怎么设置边界条件和初始化吗,我是一个这样的模型,用的是of10的buoyantFoam:

高度有两米,右边两个口底下那个是进口,上面那个是出口。
流体的密度有10000。
现在就是刚开始算流体就会一直被加速,感觉就是跟压力的设置有关系,初场或者边界,很多方法试了都没法解决,想问问有没有大佬懂这一块的。 -
有人有用过snappyHexMesh生成特别薄的边界层吗@coolhhh 在 有人有用过snappyHexMesh生成特别薄的边界层吗 中说:
@tyhero123 不太清楚无法加上边界层具体类型。我之前是画方柱绕流的网格,方柱的边界层要薄,计算域底面厚点,方柱拐角处、方柱与计算域底面衔接处的边界层无法生成问题。通过下面方法实现生成:
snappyHexMeshDict中用explicitFeatureSnap
explicitFeatureSnap true; implicitFeatureSnap false;meshQualityDict中的maxBoundarySkewness设置大点,几个控制网格质量参数设置小点
maxBoundarySkewness 10; maxInternalSkewness 4; minDeterminant 1e-30; minFaceWeight 1e-30; minVolRatio 1e-30;-
步骤1和2只是解决方柱拐角处边界层衔接,计算域底面边界层厚度和方柱的边界层厚度设置一样薄,方柱与计算域底面衔接处的边界层才能生成
-
生成很薄的边界层网格质量其实很差
好的谢谢!我先试试看能生成怎么样的网格。
-
有人有用过snappyHexMesh生成特别薄的边界层吗我是做MHD的,边界层需要特别薄,和主流区域的网格尺寸差别较大,用snappyHexMesh一直无法加上边界层,不知道该怎么处理。
下面贴出我的blockMeshDict、snappyHexMeshDict、MeshQualityDict和输出的log,有没有大佬为我解答一下,不胜感激。blockMeshDict meshQualityDict snappyHexMeshDict slurm-20966985.out -
momentumLookupTableInjection这个粒子注入模型一直无法正确注入到相应的位置@李东岳 在 momentumLookupTableInjection这个粒子注入模型一直无法正确注入到相应的位置 中说:
那个帖子很老了,我看是用在openfoam2.0.0的,相当老了
我还没测试过你这么玩,感觉你可以把算例发到论坛试试。不过我马上要做国际航班了。够呛能给你debug了近期。谢谢!我已经解决了,自己编了一个injection模型。
-
momentumLookupTableInjection这个粒子注入模型一直无法正确注入到相应的位置设置下来有时候会出现只在一个点注入,有时候会有一个位置不注入,诸如此类的情况发生。我在https://ss1.xrea.com/penguinitis.g1.xrea.com/study/OpenFOAM/injection.html这个链接的教程里看到说要设置时间步长为parcelsPerSecond的倒数,但还是出现有位置不注入的情况,想问问有没有遇到相同情况的伙伴,请教一下该如何解决。
model1 { type momentumLookupTableInjection; inputFile "injectionTable"; parcelBasisType fixed; nParticle 1; parcelsPerSecond 200; randomise off; massTotal 0; SOI 116; duration 1; }injectTable文件:
FoamFile { version 10; format ascii; class dictionary; location "constant"; object injectionTable; } // (x y z) (u v w) d rho mDot ( (0 0 0) (0 0 0) 1e-3 9341.88 1e-7 (0.5 0.01 0) (0 0 0) 1e-3 9341.88 1e-7 (-0.5 0.01 0) (0 0 0) 1e-3 9341.88 1e-7 (-0.1 -0.01 0) (0 0 0) 1e-3 9341.88 1e-7 (-0.4 -0.02 0) (0 0 0) 1e-3 9341.88 1e-7 (-0.6 -0.02 0) (0 0 0) 1e-3 9341.88 1e-7 (-0.8 -0.05 0) (0 0 0) 1e-3 9341.88 1e-7 (0.7 0.04 0) (0 0 0) 1e-3 9341.88 1e-7 );